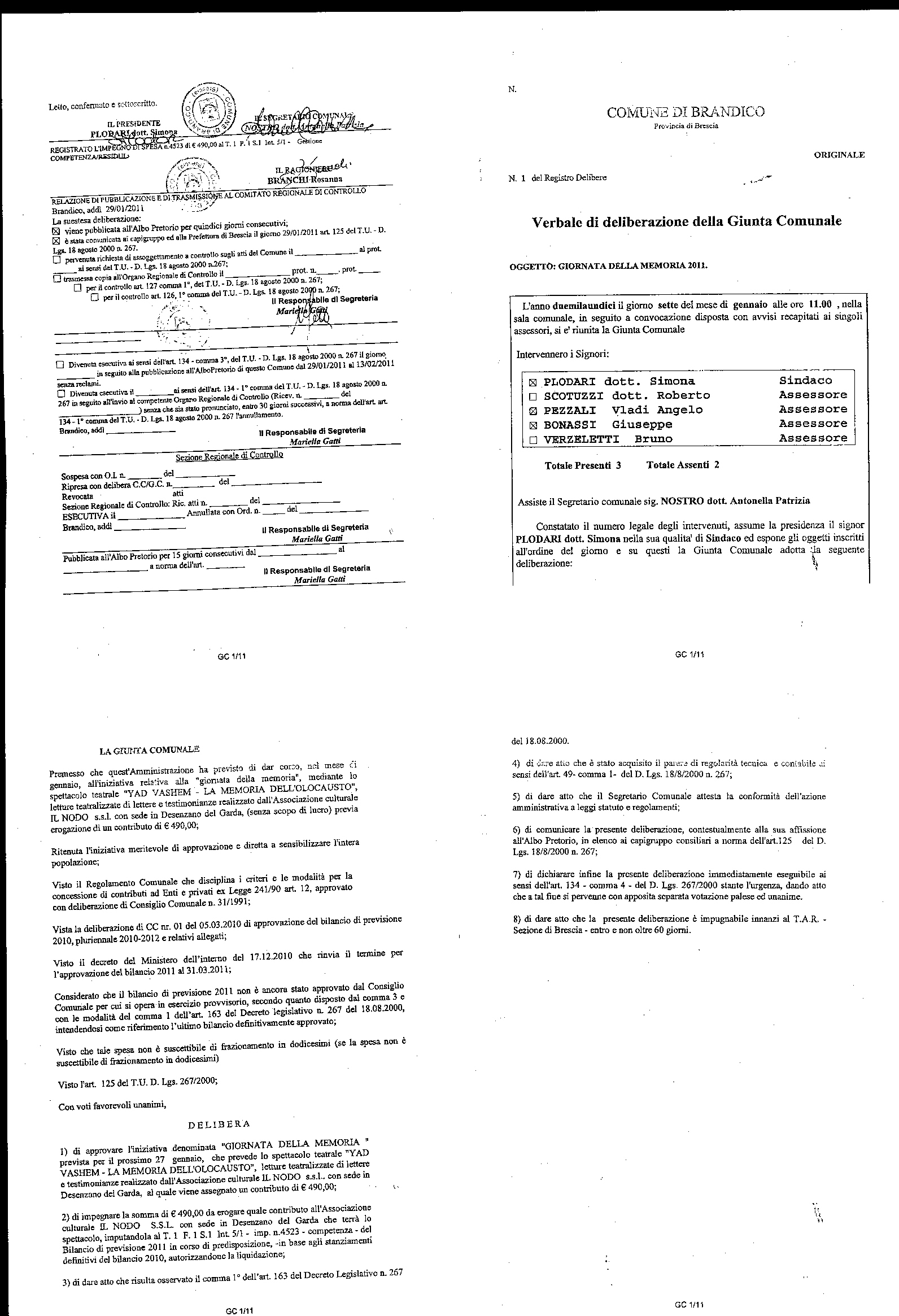
G.C.n.1/11
G.C. n.1-2011 .jpg
—
JPEG image,
998 KB (1022857 bytes)



















